推荐资讯
Latest Information- 湿法激光粒度仪和干法激光粒度仪的区别 04-11
- 干法激光粒度仪的结构和原理 04-11
- Zeta电位及Zeta电位分析仪 04-10
- 激光粒度仪在锂电池正极材料粒度检测中的应用 04-10
- 提升锂电池能量密度的方法研究 04-10
- 激光粒度分析仪用于脂肪乳注射液粒度的研究 04-10
- 水泥密度测试方法研究 04-10
联系我们
Contact Us电话 : 15021562539
QQ : 619163093
邮箱 : sales@dwshanghai.com
网址 : //m.crmbz.com
地址 : 上海嘉定区华江路348号B座226室
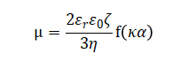
百特BeNano用于检测电池浆料Zeta电位信息
- 编辑:
百特BETTERSIZE
时间: 2024-03-08 10:31 浏览量: 56
相关新闻
- 激光粒度仪检定规程及操作规范 08-06
- 激光粒度仪:颗粒世界的精密量尺 07-30
- 炭素品质精准把控的利器:百特在线粒度监测系统 07-25
- 激光粒度仪测粒径原理:光散射技术与颗粒表征的核心解析 07-16
- 基于LEDLS技术的二氧化硅抛光液浓度与粒径精准表征 07-09
- 基于透射光路法的液体折射率高精度检测 07-02
- 基于静态光散射流动模式的单抗IgG分子量及聚集态分析 06-18
- 激光粒度仪在材料表征中的作用是什么? 06-11
- 激光粒度仪如何帮助进行材料特性分析? 06-04
- 激光粒度仪在研发新产品时的核心作用与技术价值 05-28











沪公网安备31011402010444